№ 1.32
Задание:
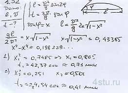
Пушка и цель находятся на одном уровне на расстоянии 5,10 км друг от друга. Через сколько времени снаряд с начальной скоростью 240 м/с достигнет цели в отсутствие сопротивления воздуха?
Решение:

Пушка и цель находятся на одном уровне на расстоянии 5,10 км друг от друга. Через сколько времени снаряд с начальной скоростью 240 м/с достигнет цели в отсутствие сопротивления воздуха?