№ 1.31
Задание:
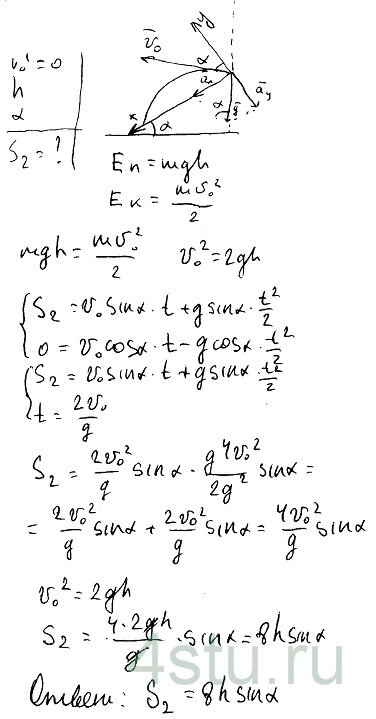
Шарик начал падать с нулевой начальной скоростью на гладкую наклонную плоскость, составляющую угол α с горизонтом. Пролетев расстояние h, он упруго отразился от плоскости. На каком расстоянии от места падения шарик отразится второй раз?
Решение:
