№ 1.3
Задание:
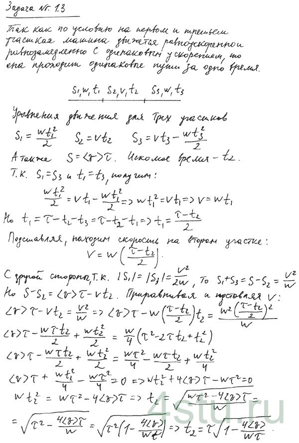
Автомашина движется с нулевой начальной скоростью по прямому пути сначала с ускорением w = 5,0 м/с2, затем равномерно и, наконец, замедляясь с тем же ускорением w, останавливается. Все время движения τ = 25 с. Средняя скорость за это время <v> = 72 км/ч. Сколько времени автомашина двигалась равномерно?
Решение:
