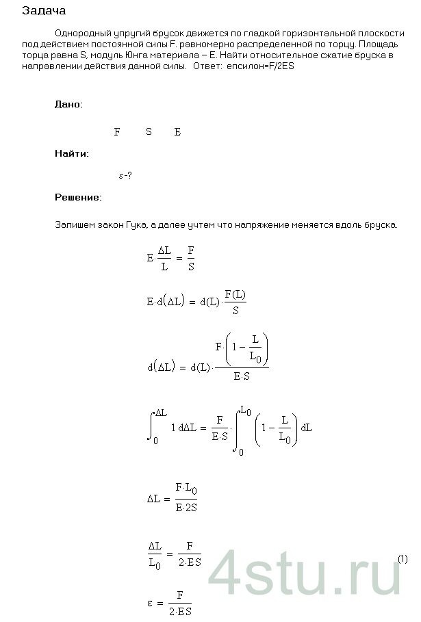
№ 1.295
Задание:
Однородный упругий брусок движется по гладкой горизонтальной плоскости под действием постоянной силы F0, равномерно распределенной по торцу. Площадь торца равна S, модуль Юнга материала — E. Найти относительное сжатие бруска в направлении действия данной силы.
Решение:
