№ 1.292
Задание:
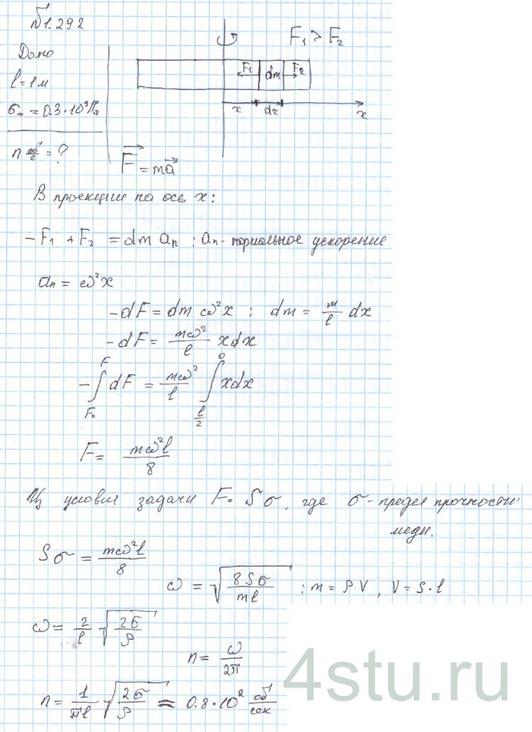
Горизонтально расположенный медный стержень длины l = 1,0 м вращают вокруг вертикальной оси, проходящей через его середину. При какой частоте оборотов он может разорваться?
Решение:

Горизонтально расположенный медный стержень длины l = 1,0 м вращают вокруг вертикальной оси, проходящей через его середину. При какой частоте оборотов он может разорваться?