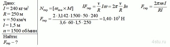
№ 1.289
Задание:
Локомотив приводится в движение турбиной, ось которой параллельна осям колес. Направление вращения турбины совпадает с направлением вращения колес. Момент инерции ротора турбины относительно собственной оси I = 240 кг*м2. Найти добавочную силу давления на рельсы, обусловленную гироскопическими силами, когда локомотив идет по закруглению радиуса R = 250 м со скоростью v = 50 км/ч. Расстояние между рельсами l = 1,5 м. Турбина делает n = 1500 об/мин.
Решение:
