№ 1.278
Задание:
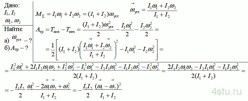
Два горизонтальных диска свободно вращаются вокруг вертикальной оси, проходящей через их центры. Моменты инерции дисков относительно этой оси равны I1 и I2, а угловые скорости — ω1 и ω2. После падения верхнего диска на нижний оба диска благодаря трению между ними начали через некоторое время вращаться как единое целое. Найти: а) установившуюся угловую скорость вращения дисков; б) работу, которую совершили при этом силы трения.
Решение:
