№ 1.277
Задание:
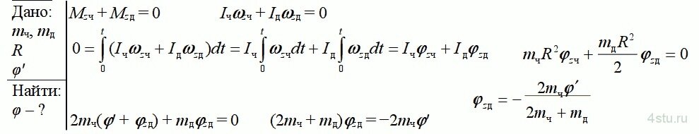
Человек массы m1 стоит на краю горизонтального однородного диска массы m2 и радиуса R, который может свободно вращаться вокруг неподвижной вертикальной оси, проходящей через его центр. В некоторый момент человек начал двигаться по краю диска, совершил перемещение на угол φ' относительно диска и остановился. В процессе движения скорость человека относительно диска зависела от времени по закону v'(t). Пренебрегая размерами человека, найти: а) угол, на который повернулся диск к моменту остановки человека; б) момент силы относительно оси вращения, с которой человек действовал на диск в процессе движения.
Решение:
