№ 1.276
Задание:
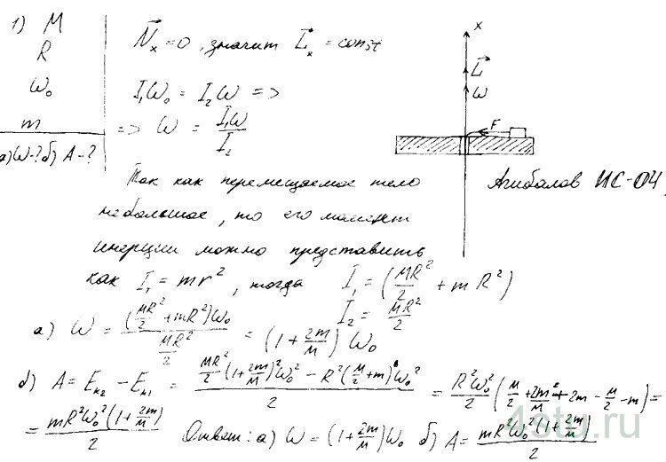
Горизонтально расположенный однородный диск массы M и радиуса R свободно вращается вокруг неподвижной вертикальной оси, проходящей через его центр. Диск имеет радиальную направляющую, вдоль которой может скользить без трения небольшое тело массы m. К телу привязана легкая нить, пропущенная через полую ось диска вниз. Первоначально тело находилось на краю диска и вся система вращалась с угловой скоростью ω0. Затем к нижнему концу нити приложили силу F, с помощью которой тело медленно подтянули к оси вращения. Найти: а) угловую скорость системы в конечном состоянии; б) работу, которую совершила сила F.
Решение:
