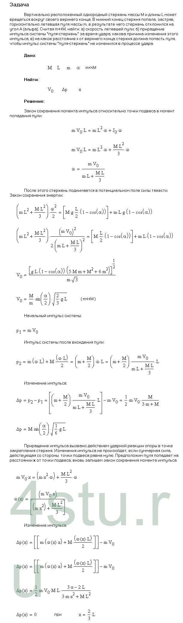
№ 1.275
Задание:
Вертикально расположенный однородный стержень массы M и длины l может вращаться вокруг своего верхнего конца. В нижний конец стержня попала, застряв, горизонтально летевшая пуля массы m, в результате чего стержень отклонился на угол α. Считая m << M, найти: а) скорость летевшей пули; б) приращение импульса системы "пуля — стержень" за время удара; какова причина изменения этого импульса; в) на какое расстояние x от верхнего конца стержня должна попасть пуля, чтобы импульс системы "пуля — стержень" не изменился в процессе удара.
Решение:
