№ 1.273


Задание:

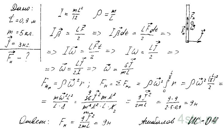
На гладкой горизонтальной поверхности лежит однородный стержень массы m = 5,0 кг и длины l = 90 см. По одному из концов стержня произвели удар в горизонтальном направлении, перпендикулярном к стержню, в результате которого стержню был передан импульс p = 3,0 Н*с. Найти силу, с которой одна половина стержня будет действовать на другую в процессе движения.

Решение:

Решение: № 1.273