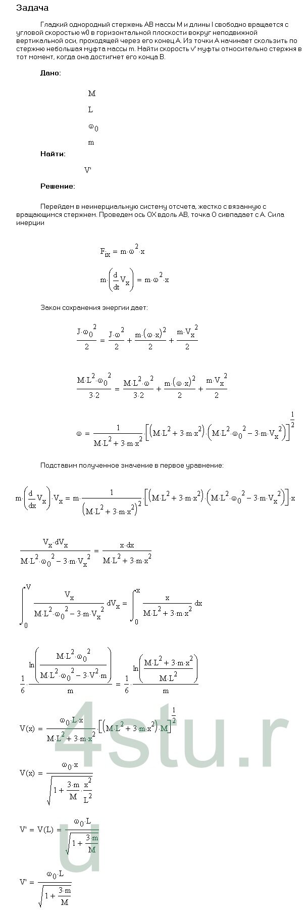
№ 1.272
Задание:
Гладкий однородный стержень АВ массы M и длины l свободно вращается с угловой скоростью ω0 в горизонтальной плоскости вокруг неподвижной вертикальной оси, проходящей через его конец А. Из точки А начинает скользить по стержню небольшая муфта массы m. Найти скорость v' муфты относительно стержня в тот момент, когда она достигнет его конца В.
Решение:
