№ 1.270
Задание:
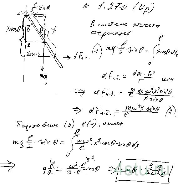
Конический маятник — тонкий однородный стержень длины l и массы m — вращается равномерно вокруг вертикальной оси с угловой скоростью ω (верхний конец стержня укреплен шарнирно). Найти угол ϑ между стержнем и вертикалью.
Решение:

Конический маятник — тонкий однородный стержень длины l и массы m — вращается равномерно вокруг вертикальной оси с угловой скоростью ω (верхний конец стержня укреплен шарнирно). Найти угол ϑ между стержнем и вертикалью.