№ 1.27
Задание:
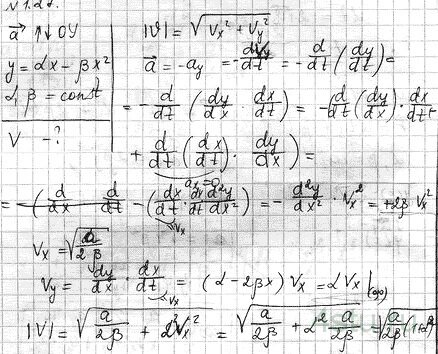
Частица движется в плоскости ху с постоянным ускорением w, направление которого противоположно положительному направлению оси у. Уравнение траектории частицы имеет вид у = ах-bx2, где а и b - положительные постоянные. Найти скорость частицы в начале координат.
Решение:
