№ 1.264
Задание:
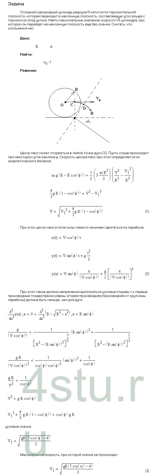
Сплошной однородный цилиндр радиуса R = 15 см катится по горизонтальной плоскости, которая переходит в наклонную плоскость, составляющую угол α = 30° с горизонтом (рис. 1.67). Найти максимальное значение скорости v0, при котором цилиндр перейдет на наклонную плоскость еще без скачка. Считать, что скольжения нет.
Решение:
