№ 1.251
Задание:
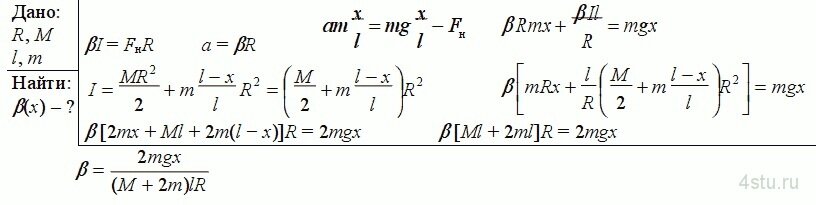
Однородный сплошной цилиндр радиуса R и массы M может свободно вращаться вокруг неподвижной горизонтальной оси O (рис. 1.59). На цилиндр в один ряд намотан тонкий шнур длины l и массы m. Найти угловое ускорение цилиндра в зависимости от длины x свешивающейся части шнура. Считать, что центр тяжести намотанной части шнура находится на оси цилиндра.
Решение:
