№ 1.25
Задание:
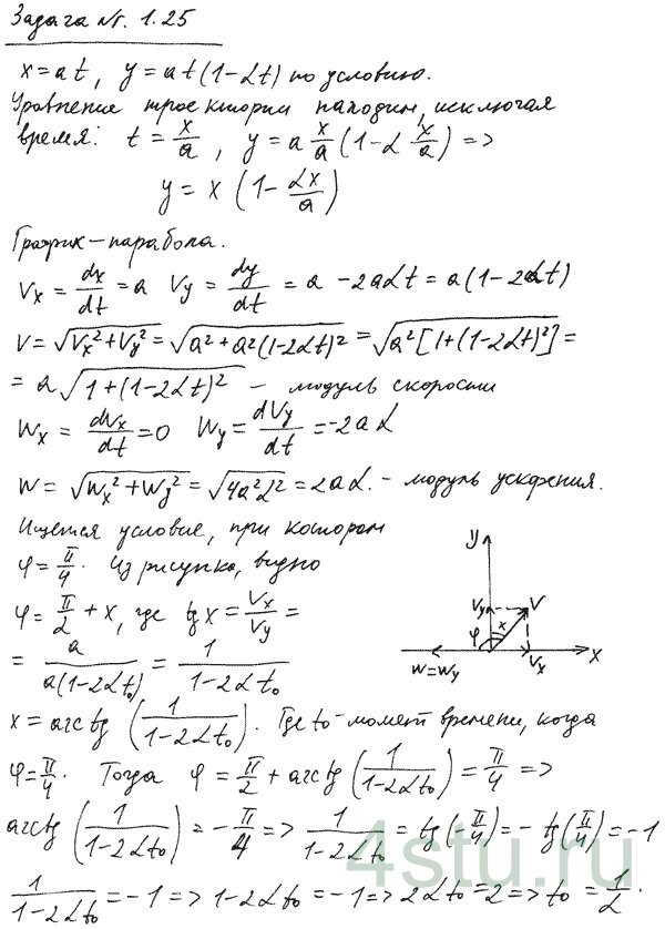
Точка движется в плоскости ху по закону: х = at, у = at (1 - αt), где a и α - положительные постоянные, t - время. Найти:
а) уравнение траектории точки у (х); изобразить ее график;
б) скорость v и ускорение w точки в зависимости от времени;
в) момент t0, в который вектор скорости составляет угол π/4 с вектором ускорения
Решение:
