№ 1.248
Задание:
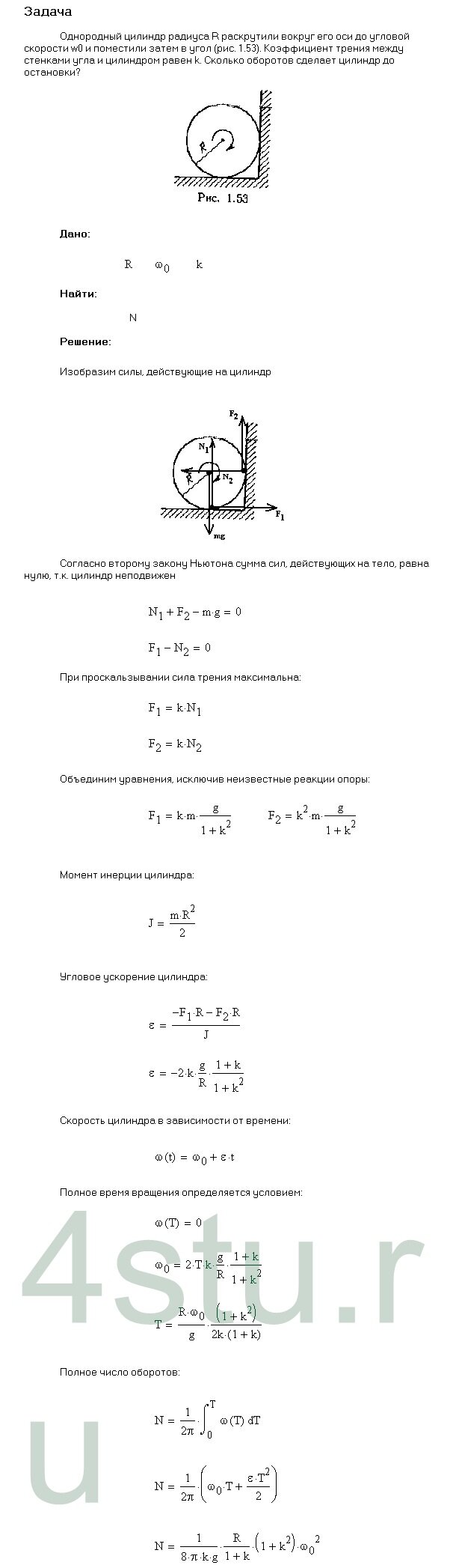
Однородный цилиндр радиуса R раскрутили вокруг его оси до угловой скорости ω0 и поместили затем в угол (рис. 1.58). Коэффициент трения между стенками угла и цилиндром равен k. Сколько оборотов сделает цилиндр до остановки?
Решение:
