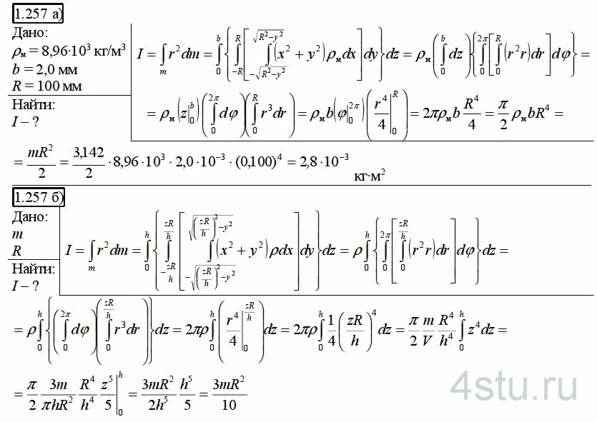
№ 1.239
Задание:
Вычислить момент инерции: а) медного однородного диска относительно оси симметрии, перпендикулярной к плоскости диска, если его толщина b = 2,0 мм и радиус R = 100 мм; б) однородного сплошного конуса относительно его оси симметрии, если масса конуса m и радиус его основания R.
Решение:
