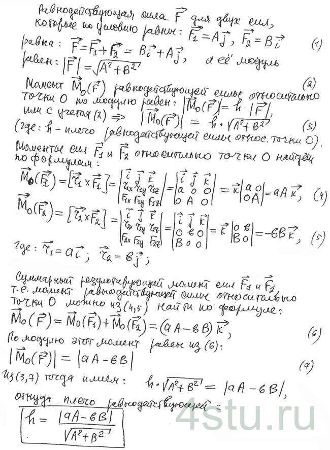
№ 1.236
Задание:
К точке с радиус-вектором r1 = ai приложена сила F1 = Аj, а к точке с r2 = bj — сила F2 = Bi. Здесь оба радиус-вектора определены относительно начала координат O, i и j — орты осей x и y, а, b, А и В — постоянные. Найти плечо l равнодействующей силы относительно точки O.
Решение:
