№ 1.234
Задание:
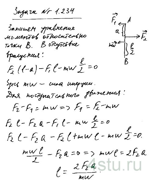
Тонкий однородный стержень АВ массы m = 1,0 кг движется поступательно с ускорением w = 2,0 м/с2 под действием двух антипараллельных сил F1 и F2 (рис. 1.52). Расстояние между точками приложения этих сил a = 20 см. Кроме того, известно, что F2 = 5,0 Н. Найти длину стержня.
Решение:
