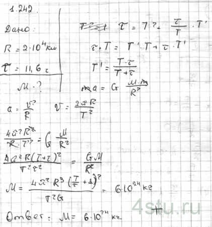
№ 1.224
Задание:
Спутник, движущийся по круговой орбите радиуса R = 2,00*104 км в экваториальной плоскости Земли с Запада на Восток, появляется над некоторым пунктом на экваторе через каждые τ = 11,6 ч. Вычислить на основании этих данных массу Земли. Гравитационная постоянная предполагается известной.
Решение:
