№ 1.221
Задание:
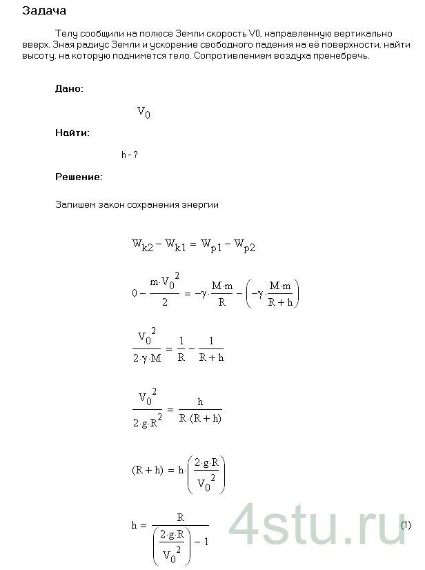
Телу сообщили на полюсе Земли скорость v0, направленную вертикально вверх. Зная радиус Земли и ускорение свободного падения на ее поверхности, найти высоту, на которую поднимется тело. Сопротивлением воздуха пренебречь.
Решение:

Телу сообщили на полюсе Земли скорость v0, направленную вертикально вверх. Зная радиус Земли и ускорение свободного падения на ее поверхности, найти высоту, на которую поднимется тело. Сопротивлением воздуха пренебречь.