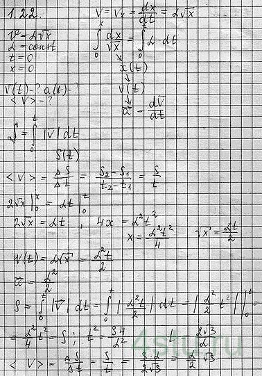
№ 1.22
Задание:
Частица движется в положительном направлении оси x так, что ее скорость меняется по закону v = α*sqrt(x), где α - положительная постоянная. Имея в виду, что в момент t = 0 она находилась в точке х = 0, найти:
а) зависимость от времени скорости и ускорения частицы;
б) среднюю скорость частицы за время, в течение которого она пройдет первые s метров пути.
Решение:
