№ 1.214
Задание:
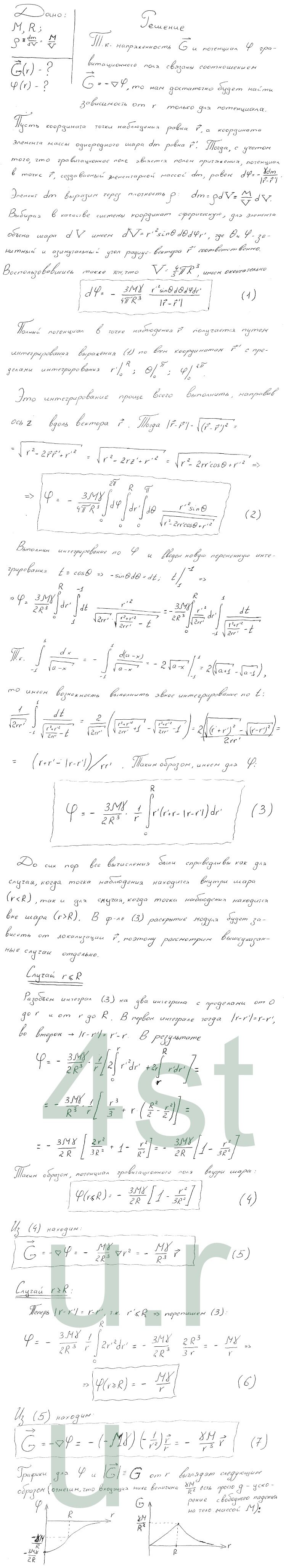
Имеется однородный шар массы M и радиуса R. Найти напряженность G и потенциал φ гравитационного поля этого шара как функции расстояния r от его центра (при r < R и r > R). Изобразить примерные графики зависимостей G(r) и φ(r).
Решение:
