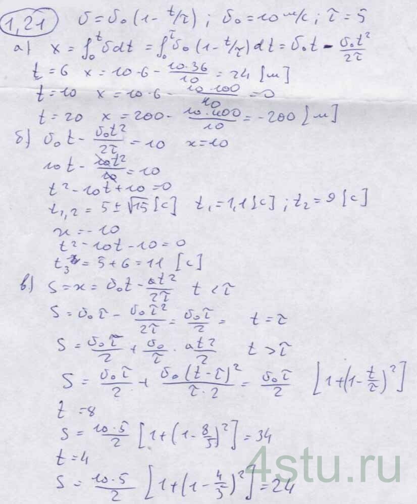
№ 1.21
Задание:
В момент t = 0 частица вышла из начала координат в положительном направлении оси х. Ее скорость меняется со временем по закону v = v0 (1 — t/τ), где v0 — вектор начальной скорости, модуль которого v0 = 10,0 см/с, τ = 5,0 с. Найти:
а) координату x частицы в моменты времени 6,0, 10 и 20 с;
б) моменты времени, когда частица будет находиться на расстоянии 10,0 см от начала координат;
в) путь s, пройденный частицей за первые 4,0 и 8,0 с; изобразить примерный график s (t).
Решение:
