№ 1.205
Задание:
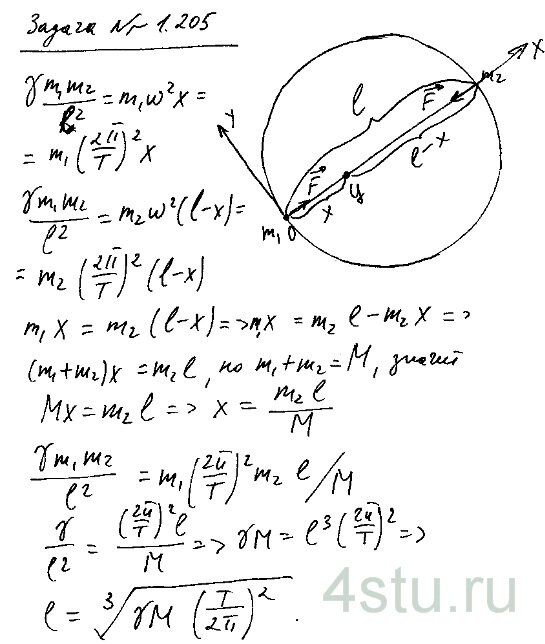
Двойная звезда — это система из двух звезд, движущихся под действием притяжения вокруг центра инерции системы. Найти расстояние между компонентами двойной звезды, если ее суммарная масса M и период обращения T.
Решение:

Двойная звезда — это система из двух звезд, движущихся под действием притяжения вокруг центра инерции системы. Найти расстояние между компонентами двойной звезды, если ее суммарная масса M и период обращения T.