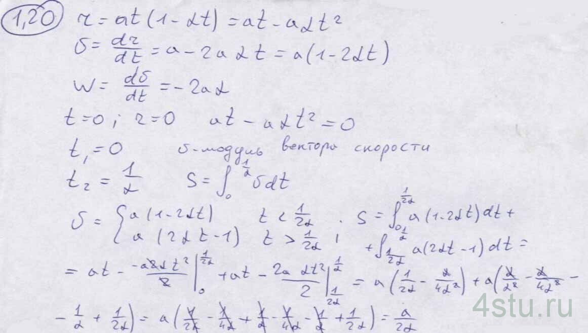
№ 1.20
Задание:
Радиус-вектор частицы меняется со временем t по закону г = at (1-αt), где а — постоянный вектор, α — положительная постоянная. Найти:
а) скорость v и ускорение w частицы в зависимости от времени;
б) промежуток времени Δt, по истечении которого частица вернется в исходную точку, а также путь s, который она пройдет при этом.
Решение:
