№ 1.197
Задание:
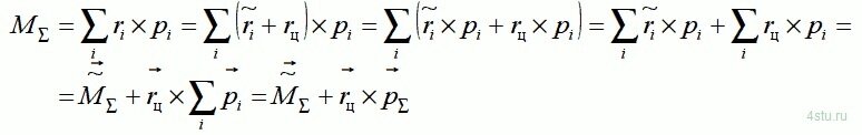
Доказать, что момент импульса M системы частиц относительно точки O K-системы отсчета может быть представлен как M = Mс + [rсp], где Mс — ее собственный момент импульса (в поступательно движущейся системе отсчета, связанной с центром инерции), rс — радиус-вектор центра инерции относительно точки O, p — суммарный импульс системы частиц в K-системе отсчета.
Решение:
