№ 1.196
Задание:
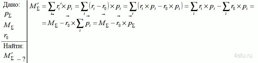
Некоторая система частиц имеет суммарный импульс p и момент импульса M относительно точки O. Найти ее момент импульса M' относительно точки O', положение которой по отношению к точке O определяется радиус-вектором r0. Выяснить, в каком случае момент импульса системы частиц не будет зависеть от выбора точки O.
Решение:
