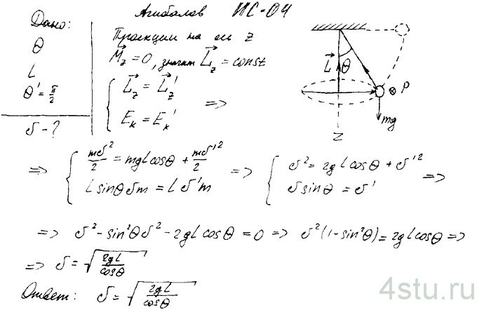
№ 1.192
Задание:
Небольшой шарик подвесили к точке О на легкой нити длиной l. Затем шарик отвели в сторону так, что нить отклонилась на угол ϑ от вертикали, и сообщили ему скорость в горизонтальном направлении перпендикулярно к вертикальной плоскости, в которой расположена нить. Какую начальную скорость надо сообщить шарику, чтобы в процессе движения максимальный угол отклонения нити от вертикали оказался равным π/2?
Решение:
