№ 1.182
Задание:
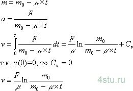
Тележка с песком движется по горизонтальной плоскости под действием постоянной силы F, совпадающей по направлению с ее вектором скорости. При этом песок высыпается через отверстие в дне с постоянной скоростью μ кг/с. Найти ускорение и скорость тележки в момент t, если в момент t = 0 тележка с песком имела массу m0 и ее скорость была равна нулю. Трением пренебречь.
Решение:
