№ 1.178
Задание:
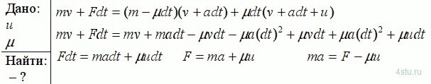
Ракета выпускает непрерывную струю газа, имеющую скорость u относительно ракеты. Расход газа равен μ кг/с. Показать, что уравнение движения ракеты: mw = F - μu, где m — масса ракеты в данный момент, w — ее ускорение, F — внешняя сила.
Решение:
