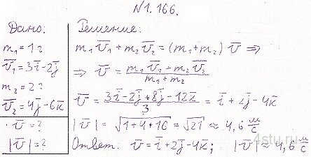
№ 1.166
Задание:
Частица массы 1,0 г, двигавшаяся со скоростью v1 = 3,0i - 2,0j, испытала абсолютно неупругое столкновение с другой частицей, масса которой 2,0 г и скорость v2 = 4,0j - 6,0k. Найти скорость образовавшейся частицы — вектор v и его модуль, — если проекции векторов v1 и v2 даны в системе СИ.
Решение:
