№ 1.16
Задание:
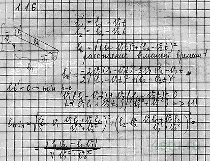
Две частицы, 1 и 2, движутся с постоянными скоростями v1 и v2 по двум взаимно перпендикулярным прямым к точке их пересечения О. В момент t = 0 частицы находились на расстояниях l1 и l2 от точки О. Через сколько времени после этого расстояние между частицами станет наименьшим? Чему оно равно?
Решение:
