№ 1.154
Задание:
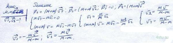
Две одинаковые тележки 1 и 2, на каждой из которых находится по одному человеку, движутся без трения по инерции навстречу друг другу по параллельным рельсам. Когда тележки поравнялись, с каждой из них на другую перепрыгнул человек — в направлении, перпендикулярном к движению тележек. В результате тележка 1 остановилась, а тележка 2 продолжала двигаться в прежнем направлении так, что ее скорость стала v. Найти первоначальные скорости тележек v1 и v2, если масса каждой тележки (без человека) M, а масса каждого человека m.
Решение:
