№ 1.150
Задание:
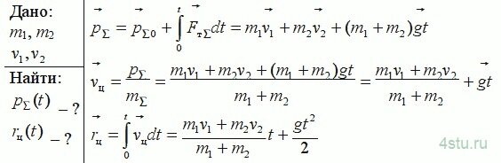
Система состоит из двух шариков с массами m1 и m2, которые соединены между собой невесомой пружинкой. В момент t = 0 шарикам сообщили начальные скорости v1 и v2, после чего система начала двигаться в однородном поле тяжести Земли. Пренебрегая сопротивлением воздуха, найти зависимости от времени полного импульса этой системы в процессе движения и радиус-вектора ее центра инерции относительно его начального положения.
Решение:
