№ 1.147
Задание:
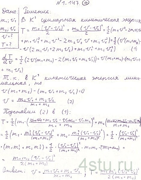
В К-системе отсчета вдоль оси x движутся две частицы: одна массы m1 — со скоростью v1 другая массы m2 — со скоростью v2. Найти: а) скорость V K'-системы отсчета, в которой суммарная кинетическая энергия этих частиц минимальна; б) суммарную кинетическую энергию этих частиц в K'-системе.
Решение:
