№ 1.142
Задание:
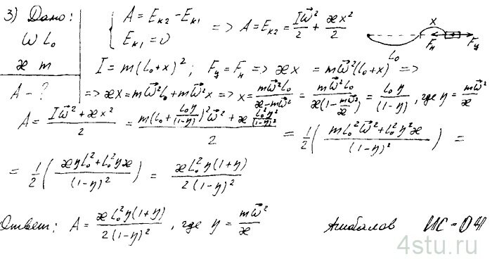
Гладкий легкий горизонтальный стержень АВ может вращаться вокруг вертикальной оси, проходящей через его конец А. На стержне находится небольшая муфточка массы m, соединенная невесомой пружинкой длины l0 с концом А. Жесткость пружинки равна χ. Какую работу надо совершить, чтобы эту систему медленно раскрутить до угловой скорости ω?
Решение:
