№ 1.136
Задание:
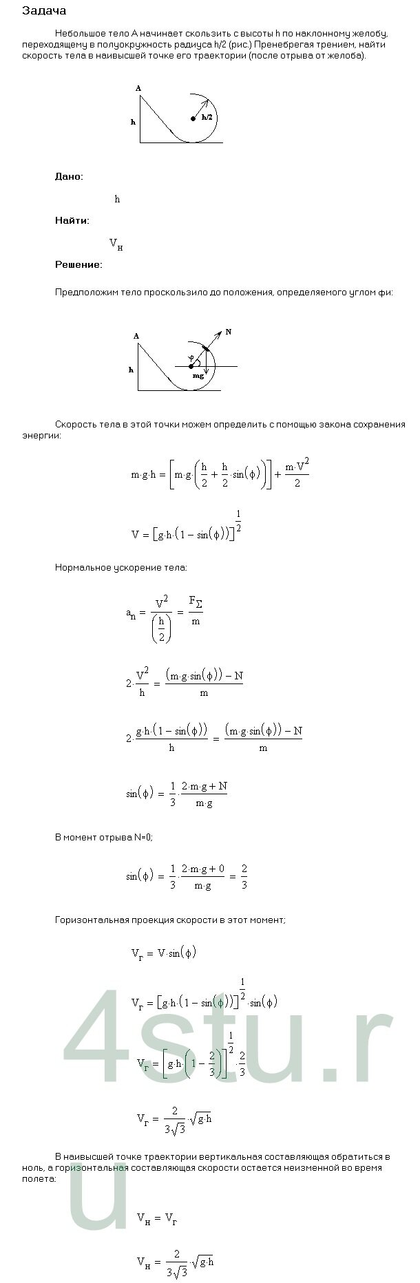
Небольшое тело А начинает скользить с высоты h по наклонному желобу, переходящему в полуокружность радиуса h/2 (рис. 1.31). Пренебрегая трением, найти скорость тела в наивысшей точке его траектории (после отрыва от желоба).
Решение:
