№ 1.126
Задание:
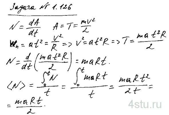
Частица массы m движется по окружности радиуса R с нормальным ускорением, которое меняется со временем по закону wn = at2, где а — постоянная. Найти зависимость от времени мощности всех сил, действующих на частицу, а также среднее значение этой мощности за первые t секунд после начала движения.
Решение:
