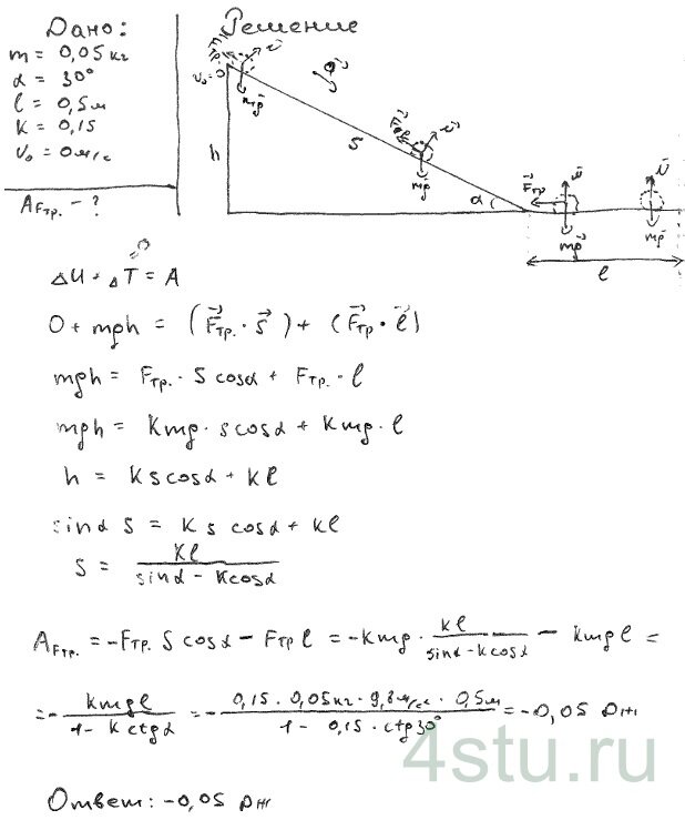
№ 1.122
Задание:
Шайба массы m = 50 г соскальзывает без начальной скорости по наклонной плоскости, составляющей угол α = 30° с горизонтом, и, пройдя по горизонтальной плоскости расстояние l = 50 см, останавливается. Найти работу сил трения на всем пути, считая всюду коэффициент трения k = 0,15.
Решение:
