№ 1.118
Задание:
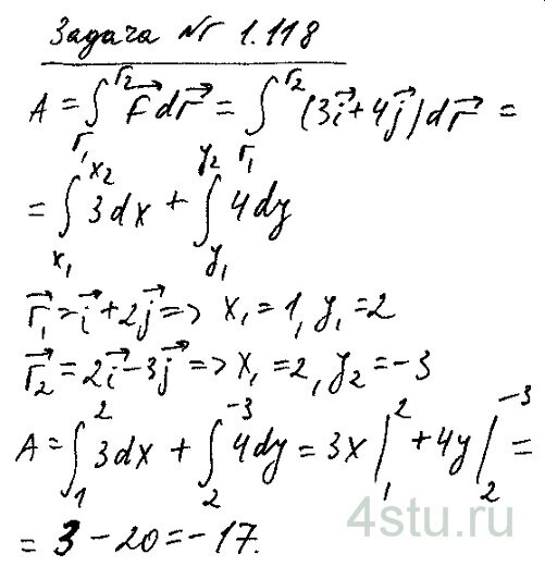
Частица совершила перемещение по некоторой траектории в плоскости ху из точки 1 с радиус-вектором r1 = i + 2j в точку 2 с радиус-вектором r2 = 2i—3j. При этом на нее действовали некоторые силы, одна из которых F = 3i + 4j. Найти работу, которую совершила сила F. Здесь r1, r2 и F — в СИ.
Решение:
