№ 1.110
Задание:
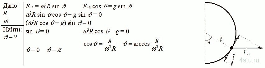
Муфточка A может свободно скользить вдоль гладкого стержня, изогнутого в форме полукольца радиуса R (рис. 1.28). Систему привели во вращение с постоянной угловой скоростью ω вокруг вертикальной оси OO'. Найти угол ϑ, соответствующий устойчивому положению муфточки.
Решение:
