№ 1.104
Задание:
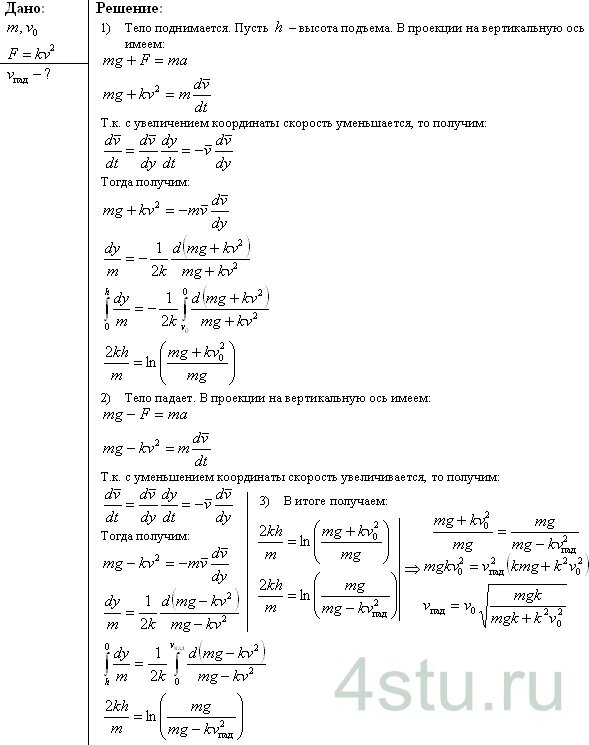
Тело массы m бросили вертикально вверх со скоростью v0. Найти скорость v', с которой тело упадет обратно, если сила сопротивления воздуха равна kv2, где k — постоянная, v — скорость тела.
Решение:

Тело массы m бросили вертикально вверх со скоростью v0. Найти скорость v', с которой тело упадет обратно, если сила сопротивления воздуха равна kv2, где k — постоянная, v — скорость тела.