№ 1.103
Задание:
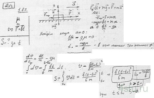
На горизонтальной плоскости с коэффициентом трения k лежит тело массы m. В момент t = 0 к нему приложили горизонтальную силу, меняющуюся со временем по закону F = at, где а — постоянный вектор. Найти путь, пройденный телом за первые t секунд после начала действия этой силы.
Решение:
