№ 1.101
Задание:
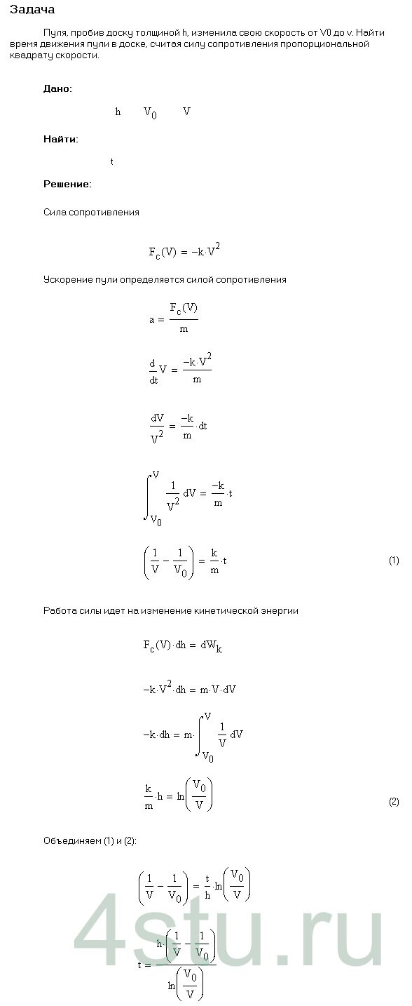
Пуля, пробив доску толщиной h, изменила свою скорость от v0 до v. Найти время движения пули в доске, считая силу сопротивления пропорциональной квадрату скорости.
Решение:

Пуля, пробив доску толщиной h, изменила свою скорость от v0 до v. Найти время движения пули в доске, считая силу сопротивления пропорциональной квадрату скорости.