[C++ Builder] Вариант №79
Задание:
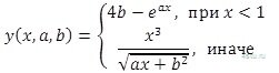
Разработать схему алгоритма, составить C++ Builder-проект (оконный и консольный вид) вычисления таблицы значений функции: y(x,a,b). Аргумент X принимает N значений от Xn с шагом Dx, а параметр А принимает значения от An до Аk с шагом Da. Параметр B принимает значение, численно равное корню нелинейного уравнения, вычисленного на интервале c = 0 и d = 8 с заданной погрешностью ɛ=10−3÷10−6. (Табулирование функции и нахождение корня нелинейного уравнения методом дихотомии (половинного деления) в C++ Builder (оконное и консольное приложения))
Решение:
Вся работа выполнена в соответствии с требованиями Кошельковой ЛВ. Прилагаю отчёт, код программы, все скриншоты, проверки и блок-схемы.
Программа: ZIP
Предпросмотр отчёта:
Московский авиационный институт
(национальный исследовательский университет)
Факультет радиоэлектроники
Кафедра 403
Разработка алгоритмов и программ решения
алгебраических задач численными методами
Расчётно-графическая работа
по дисциплине «Информатика»
Выполнил:
студент группы М4О-103Б-17
Парамонов Н. М.
Принял:
преподаватель кафедры 403
Кошелькова Л. В.
Москва
2018 г.
Оглавление
- Условие задачи
- Анализ задания
- Теоретические сведения
- Схемы алгоритмов
- Описание C++ Builder-программы
- Текст программы
- Пример выполнения программы
- Консольное приложение
- Набор тестов
- Выводы
- Список использованной литературы
1. Условие задачи
Вариант №79
Разработать схему алгоритма, составить C++ Builder-проект вычисления таблицы значений функции:
.jpg)
Аргумент X принимает N значений от Xn с шагом Dx, а параметр А принимает значения от An до Аk с шагом Da. Параметр B принимает значение, численно равное корню нелинейного уравнения:
e-x + x2 - 2 = 0
вычисленного на интервале c = 0 и d = 8 с заданной погрешностью ε = 10-3 ÷ 10-6.
2. Анализ задания
Входные данные:
- Xn – начальное значение аргумента, тип – с плавающей точкой;
- Dx – шаг изменения аргумента, тип – с плавающей точкой;
- N – число значений аргумента, тип – целый;
- An – начальное значение параметра A, тип – с плавающей точкой;
- Ak – конечное значение параметра A, тип – с плавающей точкой;
- Da – шаг изменения параметра A, тип – с плавающей точкой;
- C, D – интервал изоляции, тип – с плавающей точкой;
- Eps – погрешность вычисления корня нелинейного уравнения, тип – с плавающей точкой;
- Km - максимальное количество итераций, тип – целый;
Выходные данные:
- Mx – массив (одномерный) значений аргумента X, тип – с плавающей точкой;
- My – массив (двумерный) значений функции Y, тип – с плавающей точкой;
- Ma – массив (одномерный) значений параметра A, тип – с плавающей точкой;
- B – численное значение корня нелинейного уравнения, тип – с плавающей точкой;
- Zt – Погрешность вычисления корня по невязке, тип – с плавающей точкой
- Er – массив (двумерный) признака ошибки при вычислении функции, тип – целый;
- Equat() – признак ошибки при вычислении корня нелинейного уравнения, тип – bool.
В алгоритме выполняются следующие функции:
- Ввод исходных данных;
- Вычисление корня нелинейного уравнения;
- Вычисление таблицы значений функции;
- Проверка значения подкоренного выражения и формирование признака ошибки, если оно имеет отрицательный знак;
- Вывод результатов вычислений.
3. Теоретические сведения
Метод дихотомии
Метод половинного деления, или иначе метод дихотомии. Метод дихотомии получил свое название от древнегреческого слова διχοτομία, что в переводе означает деление надвое. Его мы используем довольно часто. Допустим, играя в игру "Угадай число", где один игрок загадывает число от 1 до 100, а другой пытается его отгадать, руководствуясь подсказками "больше" или "меньше". Логично предположить, что первым числом будет названо 50, а вторым, в случае если оно меньше - 25, если больше - 75. Таким образом, на каждом этапе неопределенность неизвестного x3 x1 x2 X Y y=f(x) уменьшается в 2 раза. Т.е. даже самый невезучий в мире человек отгадает загаданное число в данном диапазоне за 7 предположений вместо 100 случайных утверждений.
Алгоритм метода половинного деления основан на теореме Больцано - Коши о промежуточных значениях непрерывной функции и следствии из неё.
Теорема Больцано - Коши: если непрерывная функция принимает два значения, то она принимает любое значение между ними.
Следствие (теорема о нуле непрерывной функции): если непрерывная функция принимает на концах отрезка положительное и отрицательное значения, то существует точка, в которой она равна 0.
Алгоритм:
- Задать отрезок [a,b] и погрешность e.
- Вычислить c=(a+b)/2
- Определить интервал дальнейшего поиска: если f(a) и f(c) имеют разные знаки, т.е. f(a)*f(c)<0, то b=c, в противном случае a=c.
- Если длина нового отрезка |b-a|<=e, то вычислить значение корня c=(a+b)/2 и остановиться, в противном случае перейти к шагу 2.
4. Схемы алгоритмов
В соответствии с принципами структурного программирования каждый функционально законченный фрагмент программы оформлен в виде подпрограммы. В результате программа включает главную программу и набор подпрограмм, предназначенных соответственно для табулирования функции (Tab), вычисления корня нелинейного уравнения (Equat), вывода результатов выполнения программы (RezOut).
Схема алгоритма главной программы представлена на рис. 1, а таблица обозначения переменных главной программы – в табл. 1.
Главная программа начинается с ввода значений входных данных.
Таблица 1
Обозначение в задании | Обозначение в алгоритме | Наименование |
---|---|---|
Xn | xn | Начальное значение аргумента, тип – с плавающей точкой |
Dx | dx | Шаг изменения аргумента, тип – с плавающей точкой |
N | n | Число значений аргумента, тип – целый |
An | an | Начальное значение параметра A, тип – с плавающей точкой |
Ak | ak | Конечное значение параметра A, тип – с плавающей точкой |
Da | da | Шаг изменения параметра A, тип – с плавающей точкой |
C, D | c, d | Интервал изоляции, тип – с плавающей точкой |
eps | Погрешность вычисления корня нелинейного уравнения, тип – с плавающей точкой | |
km | Максимальное количество итераций, тип – целый | |
Mx | Массив значений аргумента X, тип – с плавающей точкой | |
My | Массив значений функции Y, тип – с плавающей точкой | |
Ma | Массив значений параметра A, тип – с плавающей точкой | |
B | b | Параметр функции, тип – с плавающей точкой |
Zt | zt | Погрешность вычисления корня по невязке, тип – с плавающей точкой |
Er | Массив признака ошибки при вычислении функции, тип – целый | |
Equat() | Признак ошибки при вычислении определённого интеграла, тип – целый | |
X | x | Аргумент, тип – с плавающей точкой |
Y | y | Функция, тип – с плавающей точкой |
m | Количество значений параметра A, тип – целый | |
i, j | Счётчики числа повторений циклов, тип – целый |
.jpg)
Рис. 1. Схема алгоритма главной программы
Вычисление значения корня уравнения производится путём обращения к ПФ Equat, возвращающей также признак ошибки в случае, если значение корня уравнения не найдено за предельно допустимое число итераций Km. При этом выводится диагностическое сообщение «Решение н найдено за Km итераций», иначе происходит табулирование функции (ПП Tab) и вывод результатов выполнения программы (ПП RezOut). Значение m определяет количество значений параметра A.
Схемы алгоритмов подпрограмм, используемых в данной программе, с указанием их назначения и списков формальных параметров приведены на рис. 2 – 5.
Подпрограмма-функция F (рис. 2) предназначена для вычисления значения функции уравнения, представляет собой один оператор присваивания и используется в ПП вычисления значения корня уравнения Equat.
.jpg)
Рис. 2. Схема алгоритма подпрограммы-функции F
Подпрограмма-функция F предназначена для вычисления значения функции F.
Список формальных параметров: X.
Входные параметры:
x – аргумент функции, тип – с плавающей точкой.
Подпрограмма-процедура вычисления корня уравнения Equat (рис. 3) реализуется циклом итерационного типа, который завершается при условии fabs(f(z)) <= eps (проверка по невязке). Во избежание «зацикливания» программы при неудачном выборе начального приближения (или ошибках в данных) в алгоритме предусмотрено задание предельно допустимого количества повторений цикла Km и выполнение соответствующего арифметического цикла с проверкой окончания i <= Km.
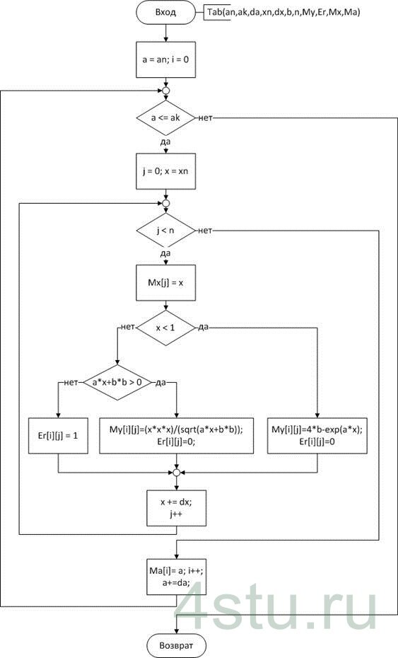
Подпрограмма-процедура табулирования Tab (рис. 4), выполненная в виде двойного цикла, определяет функциональную зависимость вида y = f(a,x) при различных значениях параметров, поэтому внутренний цикл должен быть связан с изменением аргумента X, а внешний – с изменением параметра A. Во внутреннем цикле имеются две развилки: одна из них обусловлена тем, что функция задаётся разными формулами на разных участках изменения аргумента (проверка условия X < 1), вторая – проверяет знак подкоренного выражения и при условии A*X+B2 > 0 вычисляет значение функции, в противном случае – формирует признак ошибки Er[I][J] = 1.
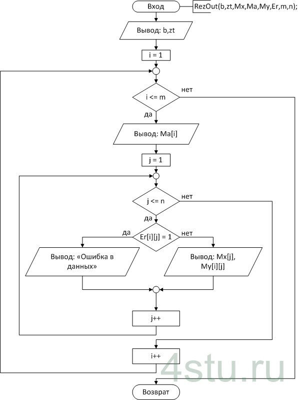
Подпрограмма-процедура RezOut (рис. 5) выводит результаты выполнения программы. По структуре она построена аналогично подпрограмме Tab: представляет собой двойной цикл арифметического типа, но в отличие от ПП Tab она получает количество значений параметра A в качестве входных данных.
.jpg)
Рис. 3. Схема алгоритма подпрограммы-функции Equat
Подпрограмма-функция Equat предназначена для вычисления значения корня нелинейного уравнения с заданной погрешностью методом половинного деления.
Список формальных параметров: c, d, eps, km, b, zt.
Входные параметры:
c, d – интервал изоляции, тип – с плавающей точкой;
eps – погрешность вычисления корня уравнения, тип – с плавающей точкой;
km – предельно допустимое количество итераций, тип – целый.
Выходные параметры:
b – значение корня нелинейного уравнения, тип – с плавающей точкой;
zt – погрешность вычисления корня по невязке, тип – с плавающей точкой;
Equat() – признак ошибки, тип – bool.
.jpg)
Рис. 4. Схема алгоритма подпрограммы-процедуры Tab
Подпрограмма-процедура Tab предназначена для вычисления таблицы значений функции Y.
Список формальных параметров: an, ak, da, xn, dx, n, b, er, Mx, My, Ma.
Входные параметры:
an – начальное значение параметра A, тип – с плавающей точкой;
ak – конечное значение параметра A, тип – с плавающей точкой;
da – шаг изменения параметра A, тип – с плавающей точкой;
xn – начальное значение аргумента, тип – с плавающей точкой;
dx – шаг изменения аргумента, тип – с плавающей точкой;
n – количество значений аргумента, тип – целый;
b – параметр функции, тип – с плавающей точкой.
Выходные параметры:
Er – массив признака ошибки, тип – целый;
Mx – массив значений аргумента X, тип – с плавающей точкой;
My – массив значений функции Y, тип – с плавающей точкой;
Ma – массив значений параметра A, тип – с плавающей точкой;
.jpg)
Рис. 5. Схема алгоритма подпрограммы-процедуры RezOut
Подпрограмма-процедура RezOut предназначена для вывода результатов выполнения программы на внешние носители информации.
Список формальных параметров: Mx, My, Ma, Er, n, m.
Входные параметры:
Mx – массив значений аргумента X, тип – с плавающей точкой;
My – массив значений функции Y, тип – с плавающей точкой;
Ma – массив значений параметра A, тип – с плавающей точкой;
Er – массив признака ошибки, тип – целый;
n – количество значений аргумента, тип – целый;
m – количество значений параметра A, тип - целый.
5. Описание C++ Builder-программы
.jpg)
Рис. 6. Форма C++ Builder-приложения (структура проекта)
Разработка приложения в визуальной среде программирования C++ Builder включает два этапа:
- разработка интерфейса приложения;
- определение функциональности приложения, т.е. написание кода.
Интерфейс определяет способ взаимодействия пользователя и приложения, т.е. внешний вид формы при выполнении приложения и то, каким образом пользователь управляет приложением.
Разработка интерфейса состоит в создании главного окна, т.е. в расположении на форме необходимых компонентов редактирования, отображения и управления. Внешний вид формы для задачи табулирования функции представлен на рисунке 6. На форме расположены следующие визуальные компоненты: Label, Edit, Button, StringGrid, Chart, Image.
Функциональность приложения определяется процедурами, которые выполняются при возникновении определенных событий. Структура C++ Builder-проекта соответствует рассмотренным в предыдущем разделе схемам алгоритмов, но дополнительно включает процедуры или функции преобразования данных символьного типа в арифметические при вводе и обратного преобразования арифметических данных в строковые – при выводе. Текст модуля формы представлен в следующем пункте.
Обработчик кнопки «Выполнить» по событию OnClick реализует процедуры (Equat, Tab, RezOut), необходимые для выполнения задачи. Обработчик включает в себя: функции преобразования входных данных типа String, полученных из компонентов Edit, в числа с плавающей точкой типа double или целые числа типа int; вызов процедур Equat, Tab, RezOut; заполнение таблицы StringGrid – вывод данных; функции преобразования выходных данных типа double (значения корня уравнения и невязки) в данные типа String для вывода в компоненты Edit; вывод сообщений об ошибках, если они присутствуют; вывод графика с использованием компонента Chart.
Обработчик кнопки «Очистить» по событию OnClick включает в себя: очистку компонентов Edit, используемых для получения входных (выходных – для значения корня уравнения и невязки) данных, очистку серий компонента Chart, очистку компонента StringGrid в цикле.
Обработчик кнопки «Закрыть» по событию OnClick включает в себя метод Close, обеспечивающий закрытие приложения.
6. Текст программы
Код модуля UnitRGR.cpp:
//---------------------------------------------------------------------------
#include <vcl.h>
#pragma hdrstop
#include <math.h>
#include "UnitRGR.h"
#pragma package(smart_init)
#pragma resource "*.dfm"
TForm1 *Form1;
//---------------------------------------------------------------------------
__fastcall TForm1::TForm1(TComponent* Owner)
: TForm(Owner){
}
//---------------------------------------------------------------------------
// Кнопка "Закрыть"
void __fastcall TForm1::Button3Click(TObject *Sender){
Close();
}
//---------------------------------------------------------------------------
// Кнопка "Очистить"
void __fastcall TForm1::Button1Click(TObject *Sender){
Edit1->Clear();Edit2->Clear();Edit3->Clear();Edit4->Clear();Edit5->Clear();Edit6->Clear();Edit7->Clear();Edit8->Clear();Edit9->Clear();Edit10->Clear();Edit11->Clear();Edit12->Clear();
for (int i=0; i<=StringGrid1->ColCount; i++)
for (int j=0; j<=StringGrid1->RowCount; j++)
StringGrid1->Cells[i][j]="";
for(int i=0;i<=Form1->Chart1->SeriesList->CountActive()-1;i++) Form1->Chart1->Series[i]->Clear();
}
//---------------------------------------------------------------------------
// Прототип нелинейное уравнение
double f(double);
// Прототип нахождение корня нелин. ур-я
bool Equat(double,double,double,int,double&,double&);
// Прототип табулирование функции
void Tab(double,double,double,double,double,double,int,double**,double**,double*,double*);
// Прототип вывод результатов
void RezOut(double,double,double*,double*,double**,double**,int,int);
//---------------------------------------------------------------------------
//Кнопка "Выполнить"
void __fastcall TForm1::Button2Click(TObject *Sender){
// Ввод исходных данных
double
xn=StrToFloat(Edit1->Text),
dx=StrToFloat(Edit2->Text),
an=StrToFloat(Edit4->Text),
ak=StrToFloat(Edit5->Text),
da=StrToFloat(Edit6->Text),
c=StrToFloat(Edit7->Text),
d=StrToFloat(Edit8->Text),
eps=StrToFloat(Edit9->Text),
b,zt;
int
n=StrToInt(Edit3->Text),
km=StrToInt(Edit10->Text),
m=(int)((ak-an)/da+1); // Кол-во зн-й параметра А
// Объявление динамических массивов
double*Mx=new double[n];
double*Ma=new double[m];
double **My= new double* [m];
for(int i=0;i<m;i++) My[i]=new double[n];
double **Er= new double* [m];
for(int i=0;i<m;i++) Er[i]=new double[n];
// Проверка на наличие ошибок и вызов подпрограмм
if (eps >= 1 || eps <= 0) ShowMessage("Погрешность должна быть < 1 и > 0!");
else{
if (Equat(c,d,eps,km,b,zt)){
Tab(an,ak,da,xn,dx,b,n,My,Er,Mx,Ma);
RezOut(b,zt,Mx,Ma,My,Er,m,n);
} else ShowMessage("Решение не найдено за "+IntToStr(km)+" итераций");
}
// Освобождение памяти
delete [] Mx;
delete [] Ma;
for(int i=0;i<m;i++) delete[]My[i];
delete [] My;
for(int i=0;i<m;i++) delete[]Er[i];
delete [] Er;
}
//---------------------------------------------------------------------------
// Нелинейное уравнение
double f(double x){
return (exp(-x)+x*x-2);
}
//---------------------------------------------------------------------------
// Нахождение корня нелинейного уравнения методом деления отрезка пополам
bool Equat(double c,double d,double eps,int km,double&b,double&zt){
int i=1;
double z;
while(i<=km){
z=(c+d)/2;
if(fabs(f(z)) > eps)
if(f(c)*f(z) > 0) c=z; else d=z;
else{
i=km;
b=z;
zt=f(z); // Погрешность вычисления корня по невязке
return true;
}
i++;
}
return false;
}
//---------------------------------------------------------------------------
// Табулирование функции
void Tab(double an,double ak,double da,double xn,double dx,double b,int n,double**My,double**Er,double*Mx,double*Ma){
double a=an,x;
int i=0;
while (a<=ak){
x=xn;
for (int j=0;j<n;j++){
Mx[j]=x;
if (x<1){
My[i][j]=4*b-exp(a*x);
Er[i][j]=0;
}
else
if (a*x+b*b>0){
My[i][j]=(x*x*x)/(sqrt(a*x+b*b));
Er[i][j]=0;
}
else Er[i][j]=1;
x+=dx;
}
Ma[i]= a;
i++;
a+=da;
}
}
//---------------------------------------------------------------------------
// Вывод результатов
void RezOut(double b,double zt,double*Mx,double*Ma,double**My,double**Er,int m,int n){
Form1->Edit11->Text=FloatToStrF(b,ffGeneral,10,6);
Form1->Edit12->Text=FloatToStrF(zt,ffGeneral,10,6);
Form1->StringGrid1->RowCount=n+1;
Form1->StringGrid1->ColCount=m+1;
Form1->StringGrid1->Cells[0][0]="X/A";
for(int i=0;i<m;i++){
Form1->StringGrid1->Cells[i+1][0]="A["+IntToStr(i)+"]="+FloatToStr(Ma[i]);
Form1->Chart1->Series[i]->Title="A["+IntToStr(i)+"]";
Form1->Chart1->Series[i]->Clear();
for (int j=0;j<n;j++){
Form1->StringGrid1->Cells[0][j+1]="X["+IntToStr(j)+"]="+FloatToStr(Mx[j]);
if(Er[i][j]==1)
Form1->StringGrid1->Cells[i+1][j+1]="Err";
else
Form1->StringGrid1->Cells[i+1][j+1]=FloatToStrF(My[i][j],ffGeneral,6,5);
Form1->Chart1->Series[i]->AddXY(Mx[j],My[i][j]);
}
}
}
//---------------------------------------------------------------------------
Файл UnitRGR.h:
//---------------------------------------------------------------------------
#ifndef UnitRGRH
#define UnitRGRH
//---------------------------------------------------------------------------
#include <Classes.hpp>
#include <Controls.hpp>
#include <StdCtrls.hpp>
#include <Forms.hpp>
#include <ExtCtrls.hpp>
#include <Grids.hpp>
#include <jpeg.hpp>
#include <Chart.hpp>
#include <TeEngine.hpp>
#include <TeeProcs.hpp>
#include <Series.hpp>
//---------------------------------------------------------------------------
class TForm1 : public TForm
{
__published: // IDE-managed Components
TLabel *Label2;
TImage *Image1;
TImage *Image2;
TLabel *Label3;
TLabel *Label4;
TLabel *Label5;
TEdit *Edit1;
TEdit *Edit2;
TEdit *Edit3;
TLabel *Label1;
TLabel *Label6;
TLabel *Label7;
TLabel *Label8;
TLabel *Label9;
TLabel *Label10;
TLabel *Label11;
TLabel *Label12;
TEdit *Edit4;
TEdit *Edit5;
TEdit *Edit6;
TLabel *Label13;
TStringGrid *StringGrid1;
TButton *Button1;
TButton *Button2;
TButton *Button3;
TLabel *Label14;
TLabel *Label15;
TLabel *Label16;
TLabel *Label17;
TEdit *Edit7;
TEdit *Edit8;
TLabel *Label18;
TLabel *Label19;
TEdit *Edit9;
TEdit *Edit10;
TEdit *Edit11;
TEdit *Edit12;
TLabel *Label20;
TLabel *Label21;
TChart *Chart1;
TLineSeries *Series1;
TLineSeries *Series2;
TLineSeries *Series3;
TLineSeries *Series4;
TLineSeries *Series5;
TLineSeries *Series6;
TLineSeries *Series7;
void __fastcall Button3Click(TObject *Sender);
void __fastcall Button1Click(TObject *Sender);
void __fastcall Button2Click(TObject *Sender);
private: // User declarations
public: // User declarations
__fastcall TForm1(TComponent* Owner);
};
//---------------------------------------------------------------------------
extern PACKAGE TForm1 *Form1;
//---------------------------------------------------------------------------
#endif
7. Пример выполнения программы:
.jpg)
Рис. 7. Форма C++Builder-приложения с результатами выполнения программы
8. Консольное приложение
Текст программы:
//---------------------------------------------------------------------------
#pragma hdrstop
#include <math.h>
#include <iostream>
#include <windows.h>
#pragma argsused
using namespace std;
//---------------------------------------------------------------------------
// Прототип нелинейное уравнение
double f(double);
// Прототип нахождение корня нелин. ур-я
bool Equat(double,double,double,int,double&,double&);
// Прототип табулирование функции
void Tab(double,double,double,double,double,double,int,double**,double**,double*,double*);
// Прототип вывод результатов
void RezOut(double,double,double*,double*,double**,double**,int,int);
//---------------------------------------------------------------------------
int main(int argc, char* argv[]){
SetConsoleCP(1251); SetConsoleOutputCP(1251); // Русский язык в консоли
double xn,dx,an,ak,da,c,d,eps,b,zt;
int n,km,m;
cout << "Введите xn,dx,an,ak,da,c,d,eps,n,km: " << endl;
scanf("%lf %lf %lf %lf %lf %lf %lf %lf %i %i", &xn,&dx,&an,&ak,&da,&c,&d,&eps,&n,&km);
system("cls");
printf("\t\tВХОДНЫЕ ДАННЫЕ\nXn=%.2lf Dx=%.2lf An=%.2lf Ak=%.2lf Da=%.2lf C=%.2lf D=%.2lf Eps=%lf N=%i Km=%i\n\n\n",xn,dx,an,ak,da,c,d,eps,n,km);
m=(int)((ak-an)/da+1);
double*Mx=new double[n];
double*Ma=new double[m];
double **My= new double* [m];
for(int i=0;i<m;i++) My[i]=new double[n];
double **Er= new double* [m];
for(int i=0;i<m;i++) Er[i]=new double[n];
if (eps >= 1 || eps <= 0) cout << "\n\a\t\tПогрешность должна быть < 1 и > 0!\n";
else{
if (Equat(c,d,eps,km,b,zt)){
Tab(an,ak,da,xn,dx,b,n,My,Er,Mx,Ma);
RezOut(b,zt,Mx,Ma,My,Er,m,n);
} else cout << "\n\a\t\tРешение не найдено за "<<km<<" итераций\n";
}
delete [] Mx;
delete [] Ma;
for(int i=0;i<m;i++) delete[]My[i];
delete [] My;
for(int i=0;i<m;i++) delete[]Er[i];
delete [] Er;
system("pause");return 0;
}
//---------------------------------------------------------------------------
// Нелинейное уравнение
double f(double x){
return (exp(-x)+x*x-2);
}
//---------------------------------------------------------------------------
// Нахождение корня нелинейного уравнения методом деления отрезка пополам
bool Equat(double c,double d,double eps,int km,double&b,double&zt){
int i=1;
double z;
while(i<=km){
z=(c+d)/2;
if(fabs(f(z)) > eps)
if(f(c)*f(z) > 0) c=z; else d=z;
else{
i=km;
b=z;
zt=f(z); // Погрешность вычисления корня по невязке
return true;
}
i++;
}
return false;
}
//---------------------------------------------------------------------------
// Табулирование функции
void Tab(double an,double ak,double da,double xn,double dx,double b,int n,double**My,double**Er,double*Mx,double*Ma){
double a=an,x;
int i=0;
while (a<=ak){
x=xn;
for (int j=0;j<n;j++){
Mx[j]=x;
if (x<1){
My[i][j]=4*b-exp(a*x);
Er[i][j]=0;
}
else
if (a*x+b*b>0){
My[i][j]=(x*x*x)/(sqrt(a*x+b*b));
Er[i][j]=0;
}
else Er[i][j]=1;
x+=dx;
}
Ma[i]= a;
i++;
a+=da;
}
}
//---------------------------------------------------------------------------
// Вывод результатов
void RezOut(double b,double zt,double*Mx,double*Ma,double**My,double**Er,int m,int n){
cout << "\t\tРЕЗУЛЬТАТЫ ВЫЧИСЛЕНИЯ\nКорень уранения: " << b << "; Невязка: " << zt << endl;
cout<<"\nТаблица значений функции:\n"<<endl;
printf("%-15s", "X/A");
for(int i=0;i<m;i++) printf("%2s%i%2s%-10.3lf","A[",i,"]=",Ma[i]);
cout << endl;
for(int i=0;i<n;i++){
printf("%2s%02i%2s%-9.2lf","X[",i,"]=",Mx[i]);
for (int j=0;j<m;j++){
if(Er[j][i]==1)
printf("%-15s", "Err");
else
printf("%-15.6lf", My[j][i]);
}
cout << endl;
}
}
//---------------------------------------------------------------------------
Пример выполнения программы:
.jpg)
Рис. 8. Результаты выполнения консольного приложения
9. Набор тестов
Для проверки правильности алгоритмов составим тесты для всех возможных путей вычислений и выполним контрольные просчеты пользуясь независимыми от C++ Builder-среды вычислительными средствами (Калькулятор, WolframAlpha и др.). В данном случае воспользуемся системой «WolframAlpha».
Тест 1. Проверка правильности вычисления корня нелинейного уравнения.
Пусть входные данные имеют следующие значения: C=0; D=8; Eps=0,00001; Km=50. Результат вычисления C++ Builder-приложения показан на рис. 7 и равен 1,315971375. Результат вычисления в WolframAlpha показан на рис. 9 и равен на выбранном отрезке 1,31597, а значит при погрешности Eps=0,00001 результат верен.
.jpg)
Рис. 9. Результат вычисления корня нелинейного уравнения в WolframAlpha
Тест 2. Проверка ветви, вычисляющей значение функции при X < 1.
Пусть входные данные имеют следующие значения: C=0; D=8; Eps=0,00001; Km=50; X=-1,75; A=2. Результат вычисления C++ Builder-приложения показан на рис. 11 и равен -5,23369. Результат вычисления в WolframAlpha показан на рис. 10 и равен 5,23369. Следовательно, значение функции при таких входных параметрах вычислено правильно.
.jpg)
Рис. 10. Результат вычисления функции при X=-1,75 и A=2 в WolframAlpha
.jpg)
Рис. 11. Результат вычисления функции при X=-1,75 и A=2 в приложении
Тест 3. Проверка ветви, вычисляющей значение функции при X >= 1.
Пусть входные данные имеют следующие значения: C=0; D=8; Eps=0,00001; Km=50; X=2,5; A=1. Результат вычисления C++ Builder-приложения равен 7,59554 (рис. 13). Результат вычисления в WolframAlpha показан на рис. 12 и равен 7,59554. Следовательно, значение функции при таких входных параметрах вычислено правильно.
.jpg)
Рис. 12. Результат вычисления функции при X=2,5 и A=1 в WolframAlpha
.jpg)
Рис. 13. Результат вычисления функции при X=2,5 и A=1 в приложении
При вводе неверных значений C++ Builder-программа выводит сообщение об ошибке.
При недостаточном числе итераций Km выводится сообщение об ошибке (рис. 14):
.jpg)
Рис. 14. Сообщение об ошибке при недостаточном числе итераций
Сообщение об ошибке также выводится при погрешности Eps большей или равной 1, или меньшей 0 (рис. 15):
.jpg)
Рис. 15. Сообщение об ошибке при неправильной погрешности Eps
Если при определённых значениях аргумента X и параметра A подкоренное выражение становится меньше 0, программа выводит строку «Err» в таблице значений функции (рис. 16), сообщающую о наличии ошибки в вычислениях (выход за область определения функции):
.jpg)
Рис. 16. Ошибка в вычислениях, если подкоренное выражение меньше 0
10. Выводы
Анализ распечатки результатов выполнения программы показывает, что полученные значения функции приближенно совпадают с результатами, полученными для контрольных тестовых примеров с помощью WolframAlpha, что подтверждает работоспособность программы. Следовательно, программа правильно вычисляет заданную функцию по всем ветвям алгоритма и может быть использована для других значений аргументов и параметров функции.
11. Список использованной литературы
- Учебное пособие «Решение алгебраических задач численными методами в среде Delphi» Авторы: Л.В. Кошелькова, А.И. Заковряшин
- Кошелькова Л.В. Программирование в C++BUILDER. Методические указания к лабораторным работам.- МАИ, 2018
- Архангельский А.Я. Программирование в C++ Builder. 7-e изд. — М.: Бином-Пресс, 2010.