4stu.ru
Главная
(current)
О сайте
Карта сайта
Поиск
Заказать
Добавить
Поиск по сайту
×
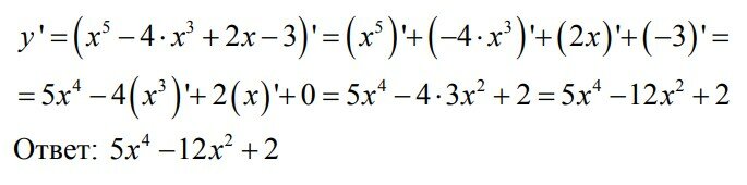
№ 368
Задание:
Найти производную y = x
5
- 4x
3
+ 2x - 3.
Решение:
Главная
Математический анализ
Задачи и упражнения по математическому анализу для ВТУЗов под редакцией Б.П. Демидовича
№ 368