4stu.ru
Главная
(current)
О сайте
Карта сайта
Поиск
Заказать
Добавить
Поиск по сайту
×
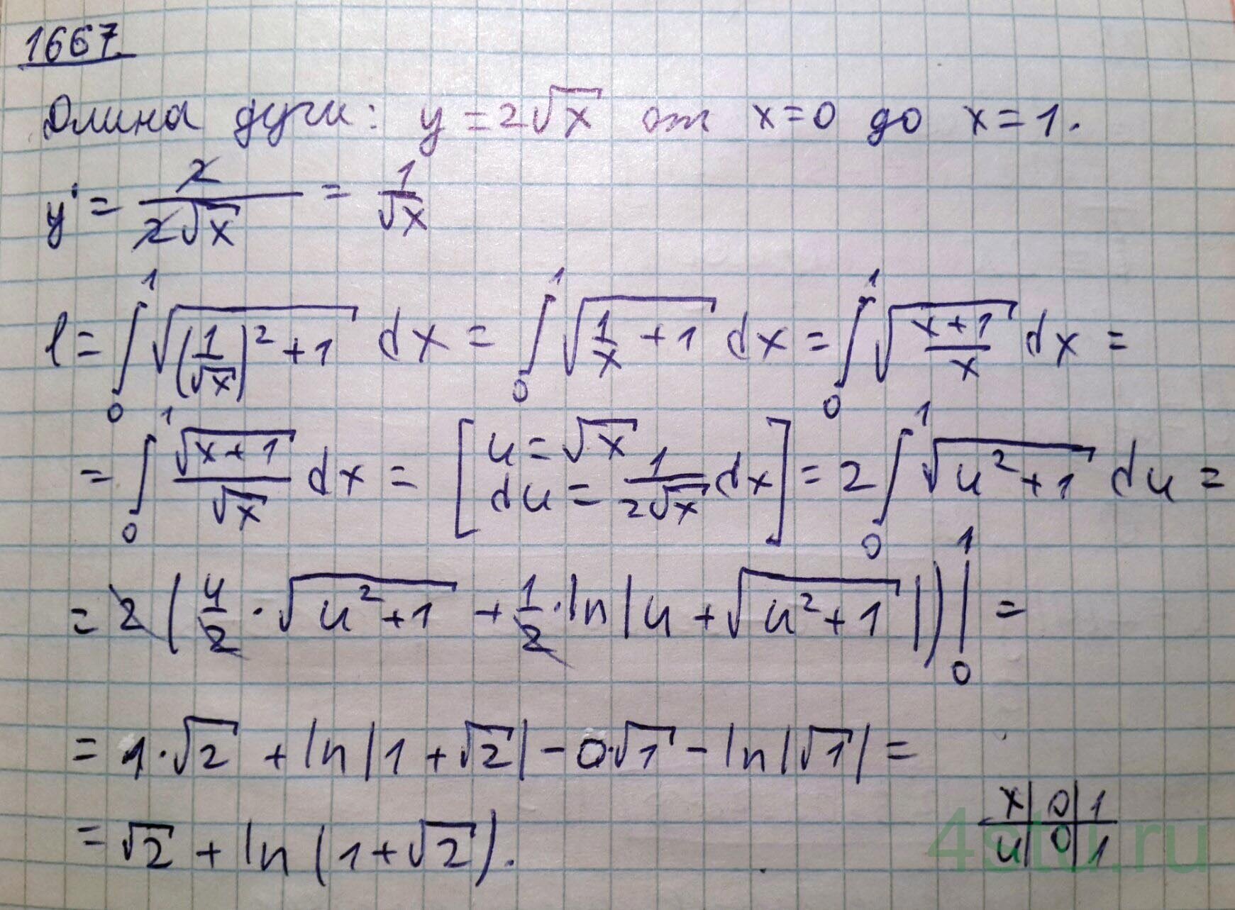
№ 1667
Задание:
Вычислить длину дуги параболы y = 2√x от x = 0 до x = 1.
Решение:
Главная
Математический анализ
Задачи и упражнения по математическому анализу для ВТУЗов под редакцией Б.П. Демидовича
№ 1667